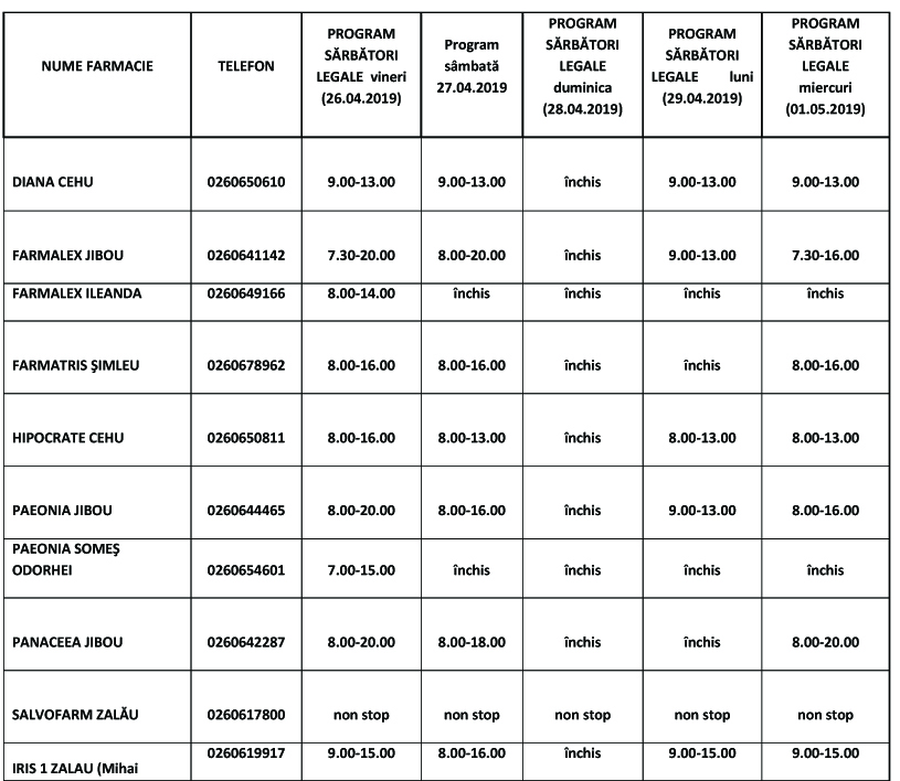
Sălăjenii care vor avea nevoie de medicamente în perioada Sărbătorilor Pascale trebuie să stie că farmaciile din judet au, zilele acestea,în perioada 26 aprilie – 1 mai, un program special.




Sălăjenii care vor avea nevoie de medicamente în perioada Sărbătorilor Pascale trebuie să stie că farmaciile din judet au, zilele acestea,în perioada 26 aprilie – 1 mai, un program special.



